Стоячие волны в разомкнутой линии различной длины

Стоячие волны в короткозамкнутой линии различной длины

http://www.radioingener.ru/stoyachie-volny-v-liniyax/


не хочу обидеть вас, но в вашем случае это проявление невежества. Впрочем, если вы хорошо учились, это не удивительно.BSVi wrote:Не хочу обидеть Николу, но он воспринимал это все на интуитивном уровне и сейчас даже хорошо учащийся школьник знает больше чем знал он.
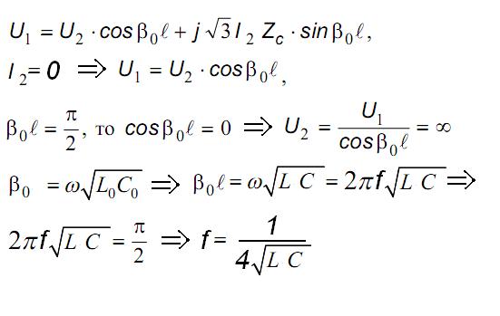
В своих дневниках и патентах Никола Тесла отмечал, что длина катушки вторичного резонансного контура должна быть равной, или нечетнократно равной одной четверти длины волны электромагнитного возмущения в системе. При таких геометрических размерах системы вторичный колебательный контур трансформатора Тесла ведет себя как четвертьволновой резонатор и по поверхности катушки в зависимости от длины волны распределяются, так называемые нули и пучности — минимумы и максимумы напряжения.Poznajuschij wrote:А в катушке не может быть стоячей волны? Тогда о чем писал Тесла? Что он имел ввиду?
Да не собираюсь я уменьшать заслуги Теслы. Для своего времени он был действительно гениален. Просто сейчас каждый первый из него пытается мага сделать.Так и переписывают историю, уменьшая заслуги великих людей.
Интересно, один я не понимаю людей, которые тов. Николу Теслу в боги возносят?neon wrote:не хочу обидеть вас, но в вашем случае это проявление невежества. Впрочем, если вы хорошо учились, это не удивительно.
Да именно так, на частоте резонанса будет резкое увеличение тока. А кто такие автоподстройщики?Короче, на сколько я понял, если не известна длинна провода катушки, то можно просто покрутить через нее синусом и посмотреть на какой частоте напряжение на конце станет максимальным, это и будет 1\4... Уверен, что при подачи импульса на нее, результат по частоте будет такой же... ведь автоподстройщики ее ставят именно на 1\4... Так?
Да, согласен. Действительно, во вторичке есть неизменная зависимость амплитуды от координаты, а значит - стоячая волна.в ней ток обязан быть одинаковым в любой ее части
И это я тоже замечал, да.Кстати пробовал возбуждать на 3й и 5й гармониках -по длине катушки хорошо видны локальные минимумы и максимумы -прямое подтверждение наличия стоячей волны.
Упрется в добротность колебательного контура.shaxel wrote: На сколько вырастет амплитуда в контуре? Вырастет ли она только до какого-то конкретного конечного значения?
Надо подумать... в принципе понятно: каждая добавленная за такт от первички к вторичке единица мощности создает дополнительную мощность в омическом сопротивлении. По идее такая же следующая добавленная единица увеличит амплитуду вторичного контура не на единицу а уже меньше, и т.д. Чтоб каждый раз добавлять к амплитуде одно и то же значение, добавляемую мощность точно так же надо повышать в каждом такте. Вы это имели в виду?T1m wrote:Вырастет до значения, когда потери в контуре и накачка равны.
Потери в контуре зависят от циркулирующей мощности, так что все ограничивается мощностью источника питания.